Polarimetric observations of selected debris disk stars with NEOPol

Agnieszka Gurgul 1 , Pawel Zielinski 1 , Agnieszka Slowikowska 1,2 , Waldemar Ogloza 3 , Marek Drozdz 3 , Michal Zejmo 4 , Karolina Bakowska 1

  • 1 Institute of Astronomy, Nicolaus Copernicus University in Torun, Torun
  • 2 Joint Institute for VLBI ERIC, Dwingeloo
  • 3 Mt. Suhora Astronomical Observatory, University of National Education Commission, Krakow
  • 4 Janusz Gil, Institute of Astronomy, University of Zielona Gora, Zielona Gora

Abstract

Polarimetric observations of debris disk stars serve as a powerful complementary technique to photometry and spectroscopy, enabling the characterization of dust properties and disk geometry by measuring the polarization state of scattered light. Presented study focuses on the photopolarimetric analysis of stars with resolved debris disks by using the NEOPol instrument - a prototype polarimeter built for the European Space Agency (ESA) to monitor Near Earth Objects (NEOs). The NEOPol's first light and tests were performed at the 60-cm Cassegrain telescope at the Institute of Astronomy of the Nicolaus Copernicus University in Toruń and 1-m ESA Optical Ground Station telescope at the Observatorio del Teide in Tenerife. Polarimetric parameters were obtained for eight stars with resolved debris disks, with polarization degree (PD) values ranging from 0.20% to 0.43%, confirming the expected low polarization levels. Moreover, the performance of NEOPol was assessed by evaluating its measurement precision and accuracy during the observations of standard stars. Therefore, we have observed highly polarized and low polarized standard stars obtaining precision on the level of 0.1% for the linear PD and a few degrees for the polarization angle (PA). Additionaly, we have investigated potential correlations between the measured PD and PA with the physical parameters of both the host stars and their disks. These relationships offer further insight into the characteristics of debris disk systems and providing a starting point for follow-up studies with more precise instruments.

Introduction

This analysis presents the results of the calibration and polarimetric observations conducted with the new NEOPol polarimeter and its application to studies of stars with resolved debris disks. NEOPol polarimeter, developed for ESA’s Optical Ground Station (OGS) 1-meter telescope located at Teide Observatory, was built and commissioned in mid-2020. After initial testing and calibration on a 60-cm Cassegrain telescope at the Institute of Astronomy of the Nicolaus Copernicus University in Toruń, the instrument was relocated to Tenerife, where it was mounted on the OGS, and final calibration was conducted.

Along with observations of polarimetric standard stars the observations of debris disk stars were acquired. In order to compare the results, the additional polarimetric measurements for the same list of targets were gathered using the 60-cm Zeiss telescope (Z60) at Mt. Suhora Observatory owned by the University of National Education Commission in Kraków.

Figure 1. NEOPol mounted in Cassegrain focus of the OGS telescope.

Debris disk stars

Analysed sample of debris disk stars was composed from objects with confirmed and characterised disk parameters from two databases Catalogue of Resolved Debris Disks1 (CRDD) and Catalogue of Circumstellar Disk2 (CCDD).

Figure 2. H-R diagram of stars with debris disks studied in this work (red points). Grey points represent the stars with debris disks taken from Jena Catalogue.

Table 1. Selected sample of stars with debris disks and their parameters: α - right ascension, δ - declination, spectral type, Rmag - visual magnitude in R band, D - distance, Lbol[LSun] - bolometric luminosity, T - temperature and age. Data taken from CRDD and CCDD databases. E(B-V) taken from NED, Schlafly and Finkbeiner 2011.

Table 2. The parameters of selected debris disks: i - disk inclination, PA - disk major axis positional angle, Rdisk - radius of the disk (from resolved images), RBB - blackbody radius of the disk (estimated from SED), SR - spatial resolution, FR Λ - wavelength range when first resolved and instrument used FR instr.

In the selection phase, diversity in terms of physical properties of the objects such as distances to the host star, inclination angle, disk size and orientation was taken into account, as well as their visibility. Final sample and the most important parameters are presented in Table 1 and 2.

1 - https://www.astro.uni-jena.de/index.php/theory/catalog-of-resolved-debris-disks.html

2 - https://circumstellardisks.org/

Results

The measurements precision for the linear polarization degree (PD) and polarisation position angle (PA) for NEOPol was determined on the level of 0.25% and 2, respectively (based on the longest time interval measurements).

PD for standard stars in the V and R bands were measured with 0.01% and 0.25% accuracy, respectively, compared to literature data, while average PA for standard stars in both filter bands were measured with 42.75 accuracy.


The mean values of PD and PA for each debris disk star in selected sample have been derived from data collected between 2019 and 2022. Obtained PD values range from 0.20% to 0.43%, consistent with the values obtained from Z60 instrument within their uncertainties, indicate relatively low polarisation as expected. For seven out of the eight objects it is considered that the photopolarimetric values have been measured for the first time, as no literature sources were found during extended search in the publicly available data.

Table 3. Mean PD final and PA final values for observed debris disks and their uncertainties, while sd(PDfinal) and sd(PAfinal) are their standard deviations.

Relationships between measured polarisation PD and PA values and the physical parameters of the stars and disks were verified. No significant correlations were proven, mainly due to large measurement uncertainties for such challenging observations. Nevertheless, some conclusions can be drawn as described on the following Figures.

Further studies of a wider range of debris-disk stars are planned in the near future to validate the postulated conclusions and minimise the possibility of a so-called selection effect.

Figure 7. Relationship between disk radius and the PD and PA values for debris disk stars. It can be seen that larger disks with Rdisk > 100 AU exhibit slightly higher PD values (PD > 0.3%) than smaller disks. Polarisation is not directly proportional to disk size and depends on several factors, howerver observed trend is in agreement with the hypothesis suggesting that the more massive disk (also larger in size), the more effective light scattering on dust particles, and, therefore, the more prominent light polarisation.

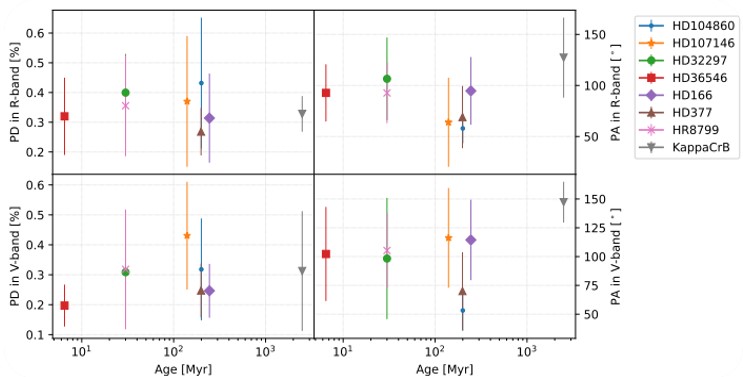
Figure 8. Relationship between age and the PD and PA values for debris disk stars. Where the range of age is given in Table 1., the average value has been taken. Note the logarithmic scale of x-axis. Polarisation increases with age for objects younger than 150 Myr. For older stars in the sample, this trend is not as clear, but it is also possible. The presence of younger, more gaseous disks in such systems, where the process of planet formation has already begun, is not able to scatter and polarise the starlight as effectively as older dusty disk systems with formed planets.

Acknowledgements

The NEOPol project was carried out for the European Space Agency under the contract no. 4000126549/19/NL/Cbi.

A.G. would like to acknowledge coworkers participating in NEOPol project from the Sybilla Technologies team.

References

[1] D. Blinov, S. Kiehlmann, V. Pavlidou, and G.V. Panopoulou et al., RoboPol: AGN polarimetric monitoring data, Monthly Notices of the Royal Astronomical Society, 501(3):3715–3726, December 2020.

[2] B. C. Matthews, A. V. Krivov, M. C. Wyatt, G. Bryden, and C. Eiroa, Observations, Modeling, and Theory of Debris Disks, Protostars and Planets VI. University of Arizona Press, January 2014.

[3] William B. Sparks and David J. Axon, Panoramic Polarimetry Data Analysis, Publications of the Astronomical Society of the Pacific, 111(764):1298–1315, October 1999.

[4] A. Sybilska, A. Shearer, S. Kozlowski, and A. Slowikowska et al., NEOPol: Polish polarimeter for NEO observations, In Polarization Science and Remote Sensing IX, volume 11132 of Society of Photo-Optical Instrumentation Engineers (SPIE) Conference Series, page 111320B, September 2019.

[5] D. A. Turnshek, R. C. Bohlin, R. L. Williamson, II, O. L. Lupie, J. Koornneef, and D. H. Morgan, An atlas of Hubble Space Telescope photometric, spectrophotometric, and polarimetric calibration objects, The Astronomical Journal, 99:1243–1261, April 1990.

Methods

Observations

The observations used in this research consists of four datasets from three polarimetric setups located in three different facilities:

- 60-cm Cassegrain telescope at Mt. Suhora Observatory equipped in two Savart plates (Suhora-Z60) - data from 2019/2020;

- two datasets from a similar 60-cm Cassegrain telescope but located in Piwnice observatory of the Institute of Astronomy, Nicolaus Copernicus University in Toruń, one from the commissioning of NEOPol in 2020 and the other from early 2021, after the instrument has been reassembled from the telescope;

- one dataset from NEOPol mounted on ESA's 1-m OGS telescope located at the Teide Observatory, once pandemic travel restrictions were lifted in November 2022 and a dedicated NEOPol calibration campaign was possible.


The NEOPol design comprises a beamsplitter and two Wollaston prisms oriented so that the final image consists of four strips, each corresponding to a different polarisation angles: 0, 90, 45, 135. The Suhora-Z60 polarimetric measurements were made using two Savart plates alternately placed in a filter wheel, obtaining respective rotations of the trasmission axis by about 45.

The schemas of the light beam behaviour in Savart and Wollaston plates are shown in Figure 3.

All NEOPol and most of Suhora-Z60 observations were made in the Johnson-Cousins R and V bands.

Figure 3. Light beam scheme in Savart plate (upper left) and stack of three frames from Z60 and, respectively, light beam scheme in Wollaston prism (bottom left) and resulting image from OGS-NEOPol (bottom right).

Observations of polarimetric standards and debris disk stars were collected and analysed from each instrument and each color filter separately. Collected optical data were reduced in a standard way: calibration of raw images with bias, dark and flat field frames was done, as well as differential photometry with AstroImageJ (AIJ) multi-aperture photometry tool. The photometric flux was measured for each polarisation transmission axis separately and Normalised Stokes Parameters (NSPs) q, u were calculated adapting Sparks and Axon method [4], allowing for measuring the intensities in arbitrary angles. The exact relative angles of transmission axes for Savart plates were estimated statistically using geometry of star images on FITS files from the whole Z60-Suhora dataset.

PD stands for linear polarization degree and PA for electric vector position angle in filter V and R respectively.

Instrumental polarisation

The polarisation introduced by each instruments was estimated based on observations on polarimetric standard stars and then compared with the literature values [1,5]. Unpolarised standards were used for instrumental polarisation (qinstr, uinstr), while polarised - for estimation of depolarisation (PDfactor) and relative rotation of the instrument regards the sky coordinates (PAshift).

Figure 4. (left) PDfactor and (right) PAshift in R-band (top row) and V-band (bottom row) for OGS-NEOPol. Points excluded by sigma clipping filtering are filled with white color.

Figure 5. Instrumental polarisation from OGS-NEOPol in R-band. Measurements classified as outliers were plotted using grey markers.

Figure 6. Instrumental polarisation from OGS-NEOPol in V-band (right). Measurements classified as outliers were plotted using grey markers.

Polarimetric calibration

In order to calibrate polarimetric data of observed debris disk stars for each instrument setup and obtain final polarisation degree PDfinal and polarisation position angle PAfinal all four correction parameters estimated from observations of unpolarised and polarised standards stars were applied to the measured values in accordance with relations on the right. The q, u are raw values of normalized Stokes parameters from observations of debris disk stars.

\begin{eqnarray} q_{corr} = q - q_{instr}, \\ \nonumber u_{corr} = u - u_{instr}, \\ \nonumber PA_{final} = PA(q_{corr},u_{corr}) + PA_{shift}, \\\nonumber PD_{final} = PD(q_{corr},u_{corr}) / PD_{factor} \end{eqnarray}