A multi-responsive [2]rotaxane endowed with an imidazole-derived photochromic station

Federico Nicoli 1 , Massimiliano Curcio 1 , Erica Paltrinieri 1 , Marina Tranfić Bakić 1 , Serena Silvi 1 , Massimo Baroncini 1 , Alberto Credi 1

  • 1 University Of Bologna, Bologna

Abstract

Rotaxanes are a class of mechanically interlocked molecules (MIMs) in which a macrocycle ring encircles a molecular dumbbell-shaped axle that prevents the ring dethreading. The chemical properties of these molecules are determined by the supramolecular interactions of the different chemical entities (axle and macrocycle) that are entangled in space.1
Imidazole is a heterocycle with a versatile chemistry that permits its use in very different areas, including supramolecular chemistry and MIMs.2,3
In this work, an imidazole-derived photoactive unit was used as the recognition site for a crown ether macrocycle in a [2]rotaxane. Such an arrangement enables the control of the ring interaction with the photoactive unit. The unique properties of the designed interlocked molecule were studied through NMR spectroscopy and UV-Visible spectroscopy. Beyond the interesting photophysical aspects, this [2]rotaxane is attractive for the development of photoactive molecular machines and multi-responsive materials.

[1] C. J. Bruns, & J. F. Stoddart (2016). The nature of the mechanical bond: from molecules to machines.

[2] S. Kiviniemi, M. Nissen, M. T. Lamsa, J. Jalonen, K. Rissanen and J. Pursiainen (2000) New J. Chem., 24, 47–52.

[3] K. Zhu, G. Baggi, & S. J. Loeb (2018). Nature chemistry, 10(6), 625-630.

Introduction

The reported rotaxane ([2]rot2+) is composed of a stronger ammonium station (Am+) and a novel, weaker phenyl azoimidazolium station (AzoIm+).

As a recent work1 shows, chemical information can be transferred upon different sites of a designed [2]rotaxane axle. This phenomenon known in several natural regulatory mechanisms as allostery, was made possible in this case thanks to the interlocked nature of rotaxanes. 

The isomerisation of the photochromic unit caused by light (INPUT) in the [2]rot2+ could be responsible for the modification of the thermodynamic properties of the Am+ station (OUTPUT). The process presents an analogy with the animal vision mechanism in which light captured by cone and rod cells is transduced into a nervous impulse directed to the brain.

[2]rotaxane scheme

The reported [2]rotaxane is composed of two stations with two accessible states (protonated/deprotonated for Am+, E/Z for AzoIm+); hence, 22 = 4 states are possible for the rotaxane. The addition of a base to E-[2]rot2+ causes its deprotonation, affording E-[2]rot+ in which the macrocycle encircles the AzoIm+ station. In this poster, the photochemical characterization of [2]rot2+ and [2]rot+ are reported.

UV-vis & NMR experiments

Upon treatment with a base, the ammonium station can be deactivated providing the [2]rot+ in which the DB24C8 ring encircles the AzoIm+ station. The strong variation in chemical shift of the nuclei related to the photoactive station (a, b) and the ones in its proximity (c, d) is an indication of the crown ether macrocycle localization.

The isomerisation process of [2]rot2+ was studied with 1H NMR experiments through direct irradiation of the sample in the NMR probe using a quartz optical fiber. Upon irradiation with 365 nm LED of the [2]rot2+, the AzoIm+ moiety can be isomerised to reach almost quantitative conversion to Z isomer. The determined rate of thermal back-isomerisation is k𝛥 Z→E = 3.97 ± 0.06 ∙ 10-4 s-1.

The AzoIm+ station encircled by the DB24C8 crown ether in [2]rot+ presents peculiar photophysical properties, in particular, the ring causes a 17 times increase of the thermal back-isomerisation rate (k𝛥 Z→E = 6.96 ± 0.02 ∙ 10-3 s-1). The [2]rot+ isomerisation was studied in CH3CN recording the UV-vis spectrum during irradiation at 365 nm.

[2]rotaxane synthesis

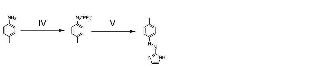
The two chemically non-equivalent nitrogen atoms of the azoimidazole can be exploited for the synthesis of [2]rot2+. The "pyridine-like" nucleophilic nitrogen is involved in the "capping" reaction of the rotaxane providing a good yield; importantly, this reaction can be carried in absence of basic conditions that would be detrimental for the pseudorotaxane assembling in solution.

Ia) EtOH, rotavapor Ib) NaBH4, EtOH, II) BoC2O, THF, III) Br2C2H4, K2CO3, 80°C, CH3CN.

IV) HPF6, NaNO2, EtOH 0-20°C, V) Imidazole, K2CO3, H2O.

1H NMR of the [2]rot2+, CD3CN.

Conclusion and perspectives

Conclusion: The photoisomerisation studies of the two molecules, [2]rot2+ and [2]rot+, highlighted the role of the macrocycle for the modulation of the photophysical properties of the AzoIm+ station.


Perspectives: A number of interesting issues remain to be understood regarding the peculiar interplay of acid-base, photoisomerization and ring shuttling processes that occur in this [2]rotaxane. For example, how the ring position affects the photoreaction quantum yields of the AzoIm+ unit? Does the configuration of the latter station influence the apparent acidity of the nearby ammonium site? If so, would it be possible to obtain photoinduced proton transfer processes between different rotaxane species? And finally, could such a strategy be employed to implement autonomous ring shuttling under light irradiation? Experiments are ongoing in our laboratories to answer these questions.